一、應用背景
味精、雞精增加食品的鮮味的調味料,主要成分為谷氨酸鈉。谷氨酸鈉是一種胺基酸谷氨酸的鈉鹽。是一種無顏色無氣味的晶體,在232℃時解體熔化。食用味精或雞精在正常范圍內不會對健康有任何損害,但食用過多會使部分人出現頭痛,面紅,多汗,面部壓迫或腫脹,口部或口周麻木、胃部燒灼感及胸痛等中毒癥狀。
我們采用電位滴定法測定味精、雞精中總酸及谷氨酸鈉含量,該方法可以通過一次滴定測定總酸及谷氨酸鈉,簡單、快捷、方便、易操作。
二、依據標準
SB/T10371-2003雞精調味品
NY/T1053-2006 綠色食品味精
GB2720-2003味精衛(wèi)生標準
三、推薦儀器以及試劑
1. 儀器:雷磁ZDJ系列滴定儀(電位滴定)
2. 試劑:0.05mol/L氫氧化鈉標準滴定溶液(配制與標定參考文件M9103-2015)甲醛
四、樣品測定
1、將味精或雞精搖勻,準確稱取 0.50g 樣品至滴定杯中,加 50mL 純水。同時做空白試驗。
2、儀器操作:
a)打開儀器,連接 231-01 pH 玻璃電極至測量電極接口,連接232-01 甘汞參比電極至參比電極接口。
b)標定電極:選擇“mV/pH”按鍵,點擊重新標定,將電極放入 4.00pH 標準緩沖溶液中,待數值穩(wěn)定后按“標定”,將電極清洗干凈,放入 9.18pH 標準緩沖溶液中,待數值穩(wěn)定后按“標定”,結束標定。
c)將電極架置于滴定杯上方,放置好測量電極、參比電極以及加液管。
d)將取液管連接接到氫氧化鈉標準滴定溶液中,使用儀器清洗按鍵,清洗三次,清洗液接至廢液杯中。
e)點擊開始方法滴定,選擇預設終點滴定,設置參數。
f)點擊開始測定,等待儀器自動檢測。
g)分析結束,儀器顯示結論,點擊保存。
h)待總酸測定結束后,手動加入 10mL 甲醛溶液后,點擊開始方法滴定,選擇預設終點滴定,設置參數,測定氨基態(tài)氮含量。
i)分析結束,儀器顯示結論,點擊保存。
j)如不再測定,使用清洗按鍵,輸液管連接純水,清洗三次。
k)關閉儀器,將電極浸泡至飽和氯化鉀中。


五、計算公式
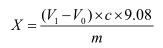
試樣中總酸的含量(以乳酸計)按下式計算:
![]()
其中:
X—試樣中總酸的含量(以乳酸計),單位為克每百克(g/100g);
V1—測定用試樣消耗氫氧化鈉標準滴定溶液的體積的數值,單位為毫升(mL);
V0—試劑空白消耗氫氧化鈉標準滴定液的體積的數值,單位為毫升(mL);
m—試樣質量的數值,單位為克(g);
c—氫氧化鈉標準滴定溶液的實際濃度的數值,單位為摩爾每升(mol/L)。
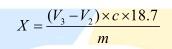
試樣中氨基態(tài)氮的含量按下式計算:
![]()
其中:
X—試樣中氨基態(tài)氮的含量,單位為克每百克(g/100g);
V3—測定用試樣加入甲醛后消耗氫氧化鈉標準滴定溶液的體積的數值,單位為毫升(mL);
V2—試劑空白試驗加入甲醛后消耗氫氧化鈉標準滴定溶液的體積的數值,單位為毫升
(mL);
m—試樣質量的數值,單位為克(g);
c—氫氧化鈉標準滴定溶液的實際濃度的數值,單位為摩爾每升(mol/L)。

六、注意事項
1、取下電極護套后,應避免電極的敏感玻璃泡與硬物接觸,因為任何破損或擦毛都使電極失效。
2、測量結束,及時將電極保護套套上,電極套內應放少量外參比補充液,以保持電極球泡的濕潤,切忌浸泡在蒸餾水中。
3、電極應避免長期浸在蒸餾水、蛋白質溶液和酸性氟化物溶液中。
4、參比電極的填充液為 3mol/L 氯化鉀溶液,填充液可以從電極上端小孔加入,長時間不使用時,塞上加液孔,裝上保護套,防止填充液干涸。
(內容來源雷磁官網)
相關閱讀:

